terça-feira, 28 de março de 2023

OPERAÇÃO DE DESCONTO NO REGIME DE CAPITALIZAÇÃO SIMPLES - RESOLUÇÃO DE Q...

Olá! É sempre um prestígio ter você aqui.

Resolveremos cinco questões sobre a operação de desconto no regime de juros simples.

Primeira questão:

Para aproveitar uma oportunidade, Renno Brancco decidiu
descontar uma promissória com vencimento para quatro
meses, contados de hoje. O valor nominal da promissória é de
R$ 2.000,00. Se a taxa corrente de juros simples é de 2%
a.m., qual o valor que deverá ser recebido por Renno Brancco?
Quanto de juros será pago pela antecipação?

Solução:


Segunda questão:

Se a promissória foi emitida com o valor de face, isto é, o valor
da data em que foram emitidas, elas deverão ter juros
calculados na data do vencimento. Normalmente, a taxa de
juros é combinada na data de emissão e pode ser diferente de
uma eventual taxa de desconto.


Solução:

Terceira  questão::

Marcos tem em seu poder uma nota promissória cujo valor de
face é R$ 150.000,00 e o termo é de 6 meses. No momento da
emissão, a taxa de juros simples combinada foi de 4% a.m.
Ele decide antecipar em 3 meses o recebimento da promissória,
e o banco, que lhe adiantará o valor, aplicará um desconto
racional simples, a uma taxa de juros corrente de 4,5% a.m.
Qual o valor do desconto?


Solução:

Quarta questão:

O pipoqueiro Luizão foi ao banco, hoje, descontar uma
promissória cujo valor de face é R$ 10.000,00 e o termo de
nove meses. A taxa de juros acertada na data da emissão foi
de 3% a.m. Faltam 20 dias para o termo e o desconto racional
simples será aplicado, a uma taxa de 4% a.m. Se o calendário
comercial for adotado, quanto será o valor do desconto? E
quanto será o valor descontado?


Solução:

Quinta questão:

Samara precisa incrementar o capital de giro de sua loja de
roupas femininas e, para isso, descontará uma nota
promissória, que se vencerá em 4 meses e cujo valor nominal é
de R$ 8.000,00. Se a taxa de desconto comercial simples a ser
aplicada é de 2% a.m., qual o valor que Samara obterá e qual
o valor do desconto?


Solução:




Lembre-se de compartilhar conhecimento, pois Aprender é a nossa melhor habilidade!


Forte abraço e até brevíssimo!

Créditos:

Exemplos modificados do livro Matemática
Financeira, de Lachtermacher-Abreu-Abreu Filho-Motta Nery,

sábado, 25 de março de 2023

Desconto racional simples, desconto comercial simples e desconto bancário

É sempre um prestígio ter você aqui!

Nesta publicação veremos as fórmulas para desconto racional, desconto comercial, e desconto bancário.

O desconto racional, também chamado desconto por dentro, é a diferença entre o valor que um título tem para a data de vencimento e o valor que teria hoje, isto é, a diferença entre o valor futuro e o valor presente.


Acima, DR é o desconto racional, VF é o valor futuro, e VP é o valor presente, A taxa é representada pela letra i, e o número de períodos é representado pela letra n.

No desconto comercial simples, ou desconto por fora, aplica-se uma taxa de desconto ao valor futuro.


Nas equações (4) e (5), a letra d faz o papel de taxa de desconto. Repare que o VP na fórmula de desconto racional é o valor futuro menos o desconto.

O desconto bancário inclui as taxas administrativas e os impostos, como Imposto sobre Operações Financeiras (IOF).

Assim, precisamos calcular o IOF e o valor do desconto comercial para saber o valor líquido, isto é, o valor depois de abatido o IOF e o desconto.

No vídeo, resolvo uma questão sobre desconto bancário.


Compartilhe conhecimento, pois Aprender é a nossa melhor habilidade!

domingo, 19 de março de 2023

EQUIVALÊNCIA DE CAPITAIS EM JUROS COMPOTOS USANDO A LOUSA E A PLANILHA E...

Olá! É sermpre um prestígio ter você aqui.

Nesta publicação, veremos como estabelecer a equivalência entre dois capitais, considerando uma data focal, um número de períodos, e uma taxa de juros de mercado.

Em juros compostos, o capital C é dito equivalente a um montante S, ao fim de n períodos, não fizer diferença pegar C agora ou S daqui a n períodos, sendo S dado por:


Esquematicamente, temos:

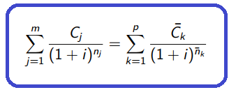
A data focal é a data a partir da qual os prazos começam a ser contados. Se tivermos uma lista de capitais nominais distintos pagáveis em prazos também distintos, podemos dizer que tais capitais são equivalentes se ocorrer a igualdade:


    Se estivermos considerando dois conjuntos de capitais, a equivalência se verifica pela igualdade:


No vídeo seguinte, mostram-se dois problemas envolvendo equivalência de capitais, um resolvido na lousa, outro resolvido na planilha eletrônica Calc do Libre Office. Lembramos que o procedimento no Libre Office é o mesmo no Excel da Microsoft e na Google Sheets.


Lembre-se: compartilhe conhecimento, pois Aprender é a nossa melhor habilidade.


Forte abraço e até brevíssimo!

domingo, 12 de março de 2023

Preço da parcela em 10 vezes fixas (e não "10 vezes sem juros")

É sempre um prestígio ter você aqui.

Você verá no vídeo e na sua descrição, como calcular o valor de uma prestação fixa em um financiamento no valor de R$ 1.000,00, que deve ser quitado em 10 prestações, à taxa de 2% ao mês.


Para calcular o valor da prestação em um financiamento em n vezes, uma das metodologias é igualar o capital ao somatório das parcelas, cada uma dividida pela soma elevada a potência k da soma da taxa a uma unidade, sendo k o número da prestação. Para chegar ao valor da parcela fixa, usamos a fórmula do valor presente, em capitalização composta, e a fórmula da soma de n termos de uma progressão geométrica. O cálculo é feito na planilha do software Calc do pacote Libre Office, mas pode ser feita do mesmo jeito em qualquer planilha (Excel, Google, Numbers). Há uma função nas planilhas que calcula essa prestação: =PGTO(TAXA;NÚMERO DE PRESTAÇÕES;-CAPITAL;VALOR PRESENTE;TIPO) Com os valores substituídos, ficaria: =PGTO(0,02;10;-1000;0;0) O VALOR PRESENTE seria maior que zero se houvesse uma entrada, mas estamos considerando uma compra sem entrada. O TIPO é zero se o pagamento for previsto para o final de cada período, que foi o que consideramos. Caso fosse no início, colocaríamos o valor unitário. Esse mesmo cálculo pode ser obtido pela calculadora do Banco Central, disponível on-line e também em aplicativo para Android e iOS.

Compartilhe conhecimento!, pois Aprender é a nossa melhor habilidade.


_________________________________________________________

Marcos Pinnto é professor, doutor e mestre em engenharia civil, especialista em EaD.
Desenhou e aplicou o algoritmo evolutivo MINPEA.
Escreveu Estatística Básica para quem não é especialista, entre outros.

segunda-feira, 6 de março de 2023

Deduzindo a Fórmula da Prestação Fixa

É sempre um prestígio ter você aqui!

No dia a dia, você vê inúmeros anúncios de bens vendidos via financiamnto, quase a totalidade com prestações fixas.

Mas você sabe como obter a fómula para calcular a prestação? Partimos de um problema hipotético: um financiamento no valor de 7.000,00 reais para serem pagos em 36 prestações fixas, à taxa de juros de 2% ao mês. Lembrando da fórmula para o cálculo do valor presente, em juros compostos, temos:
Para valer a equivalência entre um capital C e uma sequência de pagamentos iguais, pagos em intervalos de tempo regulares, fazemos:
Observando que temos acima uma Progressão Geométrica cujo primeiro termo é 1/(1+i), que também é a razão, temos que o somatório dos fatores, pondo P em evidência, é:
Daí, podemos resolver a primeira equação para P, obtendo:

ou

Assim, podemos calcular o valor da prestação fixa. Lembre-se de que dessa prestação devem ser subtraídos os juros sobre o saldo devedor para se obter a amortização. Após a última prestação, o saldo devedor deve ser zero.

Compartilhe conhecimento, pois aprender é a nossa melhor habilidade!


______________________________________________
Prof. Marcos Pinnto
Doutor e mestre em engenharia civil, especialista em EaD, 
projetou e aplicou o algoritmo evolutivo MINPEA, 
escreveu o livro Estatística Básica 
para Quem Não é Especialista.

domingo, 5 de março de 2023

Resolução de problemas envolvendo juros simples e juros compostos

Por Marocos Pinnto *

_________________________________________ 

É sempre um prestígio ter você aqui!

Os sistemas de capitalização simples e composta diferem quanto à convenção de que os juros apurados no período anterior sejam adicionados ou não ao capital inicial para o cálculo dos juros no período atual.

Aqui resolvemos duas questões adaptadas do concurso para contador judiciário do Tribunal de Justiça de São Paulo, aplicado em 2019 pela FUNESP.
Na primeira questão, são dados um montante de 44.089,00R$, obtidos de uma aplicação por dois períodos, remunerados a uma taxa de 8% ao período. Usamos M = X(1+i)^n, onde M é o montante, i é a taxa, n é o número de períodos. Substituindo na fórmula os valores dados, isolamos X e obtemos 37.800,00R$.


Na segunda questão, temos a comparação entre dois investimentos. O objetivo é calcular o valor do capital inicial a partir dos dados fornecidos na primeira opção de investimento e usar esse capital para calcular os juros auferidos na segunda opção de investimento. O primeiro cálculo é similar ao da primeira questão. O enunciado dá 13.005,00R$ como montante da primeira opção, resultado da remuneração de um capital aplicado por dois períodos, a uma taxa de 2% ao período. Com esses dados, obtemos 12.500,00 R$, que é o capital inicial. Na segunda opção, são dados o número de meses, que é 8, a taxa aplicada, que é 8,4%, mas não o capital, obtido a partir da primeira opção. Aplicando o valor do capital à fórmula dos juros simples, J = Cin, onde J são os juros, C é o capital, i é a taxa, e n o número de períodos, obtemos 700,00 R$.


Observe que o número de períodos deve ser dividido por 12, pois a capitalização é anual, mas o período de aplicação é de 8 meses.

Você pode acompanhar a resolução no vídeo.



Compartilhe conhecimento! Pois aprender é a nossa melhor habilidade.

___________________________________________
* Professor de matemática financeira, doutor em engenharia, especialista em EaD.
Escreveu Estatística Básica para quem não é especialista, entre outras publicações.