Olá! É sempre um prestígio ter você aqui.
Nesta publicação, você aprenderá:
1. Tratar do caso em que um dos limites de integração tende ao infinito.
2. Efetuar uma substituição trigonométrica.
3. Calcular a derivada da função tangente.
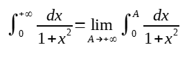
1. Tratar do caso em que um dos limites de integração tende ao infinito.
Quando o integrando é descontínuo no intervalo de integração, podemos avaliar o valor da integral trocando o ponto em que ocorre a descontinuidade por uma variável, na qual será aplicada um limite quando esta variável tende para o ponto de descontinuidade.
No caso de um dos limites tender ao infinito, fazemos algo parecido, isto é, substituímos o símbolo infinito por uma variável e, depois de resolver a integral usando esta variável, fazemo-la tender ao infinito.
2. Efetuar uma substituição trigonométrica.
Quando há a possibilidade de usar relações trigonométricas para resumir a expressão no integrando, fazemos uma substituição trigonométrica. A escolha da função trigonométrica depende da relação que se deseja usar.
Na figura dada no tópico anterior, há uma relação envolvendo a soma da unidade com o quadrado da tangente. Por isso, escolhemos a função tangente para efetuar a substituição trigonométrica.
Como estamos trabalhando com a tangente, o ângulo não pode assumir o valor π/2, portanto, faz sentido para o exemplo de integral que temos. Assim, fazendo o ângulo tender para π/2, temos o comportamento de x tendendo para +⧞.3. Calcular a derivada da função tangente.
A derivada da função tangente pode ser obtida pela derivação do quociente senθ/cosθ. Veja na figura seguinte os passos da derivação.
Acompanhe passo a passo no vídeo:
Lembre-se de compartilhar conhecimento, pois APRENDER É A NOSSA MELHOR HABILIDADE!
Abraço e até brevíssimo!



